-
24 Яну 2026 |
USD / BGN 1.6636
GBP / BGN 2.2450
CHF / BGN 2.1046- Радиация: София 0.11 (µSv/h)
- Времето:
София 0°C 
Основни резултати от наблюдението на работната сила през 2021 година
17 Март 2022 | 11:04
/КРОСС/ От началото на 2021 г. наблюдението на работната сила във всички държави - членки на ЕС, включително и в България, се провежда в съответствие с изискванията на Регламент (EС) 2019/1700 на Европейския парламент и на Съвета за създаване на обща рамка за европейската статистика за лицата и домакинствата, основана на индивидуални данни, събрани чрез извадки, и свързаните с него прилагащи регламенти на Европейската комисия в областта на статистиката на работната сила. Тези регламенти налагат промени в методологията на наблюдението, свързани преди всичко с дефинициите за заетост и безработица, поради което резултатите от наблюдението на работната сила за 2021 г. не са напълно съпоставими с тези за предишни периоди.
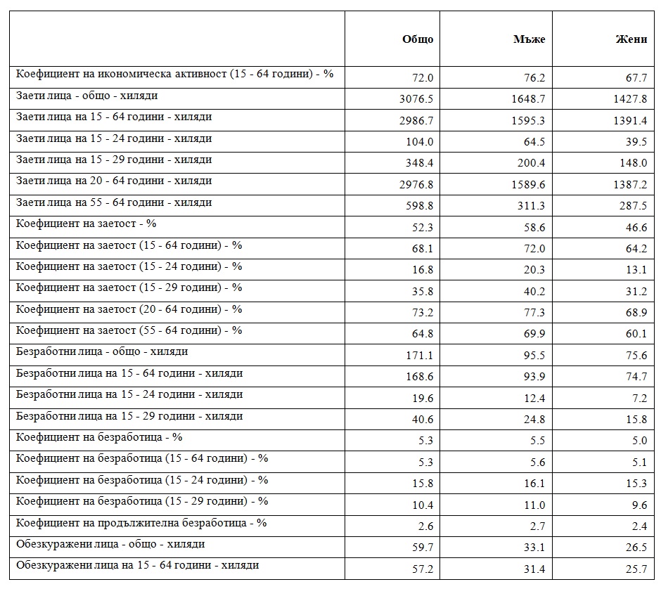
- През 2021 г. икономически активните лица на възраст 15 - 64 навършени години са 3 155.3 хил., или 72.0% от населението на същата възраст. В сравнение с 2020 г. коефициентът на икономическа активност намалява с 0.1 процентни пункта.
- Общият брой на заетите лица e 3 076.5 хил., или 52.3% от населението на 15 и повече навършени години. От всички заети 1 648.7 хил., или 53.6%, са мъже и 1 427.8 хил., или 46.4%, са жени.
- Заетите лица на възраст 15 - 64 навършени години са 2 986.7 хиляди. Коефициентът на заетост за населението в същата възрастова група е 68.1%, съответно 72.0% за мъжете и 64.2% за жените. В сравнение с 2020 г. коефициентът се увеличава с 0.5 процентни пункта.
Фиг. 1. Коефициенти на заетост по възрастови групи и пол през 2021 година

- Коефициентът на заетост за населението на възраст 20 - 64 навършени години е 73.2%. При мъжете коефициентът на заетост за тази възрастова група е 77.3%, а при жените - 68.9%.
- Коефициентът на заетост за възрастовата група 55 - 64 навършени години е 64.8% (69.9% за мъжете и 60.1% за жените).
- Безработните лица са 171.1 хил., от които 95.5 хил. са мъже и 75.6 хил. - жени.
- Коефициентът на безработица е 5.3%, съответно 5.5% за мъжете и 5.0% за жените. В сравнение с 2020 г. намалява с 0.8 процентни пункта.
Фиг. 2. Коефициенти на безработица за възрастовата група 15 - 64 навършени години по степени на образование и пол през 2021 година

- Коефициентът на безработица за възрастовата група 15 - 29 навършени години е 10.4%.
- Относителният дял на продължително безработните лица от всички безработни е 49.5%, а коефициентът на продължителна безработица е 2.6% - съответно 2.7% за мъжете и 2.4% за жените.
- Икономически неактивните лица на възраст 15 - 64 навършени години са 1 227.4 хил., от които 527.0 хил. са мъже и 700.4 хил. са жени. Коефициентът на икономическа неактивност (15 - 64 навършени години) е 28.0% - съответно 23.8% за мъжете и 32.3% за жените.
- Броят на обезкуражените лица на възраст 15 - 64 навършени години е 57.2 хил., или 4.7% от всички икономически неактивни лица в същата възрастова група.
- Относителният дял на рано напусналите образование и обучение от населението на възраст 18 - 24 навършени години е 12.2%.
- Относителният дял на лицата с висше образование от населението на възраст 25 - 34 навършени години е 33.6%.
- Относителният дял на незаетите и неучастващи в образование и обучение от населението на възраст 15 - 29 навършени години е 17.6%.
Методологични бележки
Наблюдението на работната сила е извадково и се провежда непрекъснато, като осигурява тримесечни и годишни данни за икономическата активност на населението на 15 и повече навършени години. Изследването обхваща обикновените домакинства в страната.
От началото на 2021 г., в изпълнение на Регламент (EС) 2019/1700 на Европейския парламент и на Съвета за създаване на обща рамка за европейската статистика за лицата и домакинствата, основана на индивидуални данни, събрани чрез извадки, и произтичащи от него прилагащи регламенти на Европейската комисия в областта на статистиката на работната сила, са направени промени в методологията на наблюдението на работната сила, свързани преди всичко с дефинициите за заетост и безработица, а именно:
- лицата, които са в отпуск за гледане на дете между 1 и 2-годишна възраст, през който получават обезщетение във фиксиран размер, се отнасят към заетите лица (до края на 2020 г. са отнасяни към икономически неактивните лица);
- лицата, които са в неплатен отпуск за гледане на дете между 2 и 8-годишна възраст, се считат за заети само ако еднократната продължителност на ползване на този вид отпуск е най-много 3 месеца, т.е. не ползват наведнъж целия полагаем им се отпуск (по 6 месеца за всеки от родителите). До края на 2020 г. те са отнасяни към заетите лица;
- лицата, които отсъстват от работа по причини, различни от годишен отпуск, заболяване или злополука и отпуск за отглеждане на дете, се считат за заети само ако продължителността на отсъствието е до 3 месеца (независимо дали получават частично възнаграждение);
- лицата, които произвеждат селскостопански продукти за собствено потребление, са изключени от категорията на заетите лица, дори чрез това производство да задоволяват основна част от потреблението в домакинството. За заети се считат само лицата, произвеждащи селскостопанска продукция, основната част от която е предназначена за продажба или за размяна;
- лицата със сезонна работа се определят като заети извън активния за работа сезон, ако продължават регулярно да извършват задачи и дейности, свързани с работата или бизнеса, извън изпълнението на юридически или административни задължения;
- лицата, които получават социални помощи и във връзка с това са задължени да извършват общополезни дейности, не се считат за заети лица. До края на 2020 г. те са отнасяни към заетите лица, ако са извършвали такава дейност през наблюдаваната седмица.
При сравнението на данните с предходната година са използвани предварителни ревизирани оценки за коефициентите на икономическа активност, заетост и безработица за 2020 г., в които са отразени ретроспективно промените в методологията на изследването през 2021 година.
Наблюдаван период - характеристиките на всяко анкетирано лице се отнасят за състоянието му през определена календарна седмица.
Икономически активното население (работната сила) включва всички заети и безработни лица.
Заети са лицата на възраст 15 - 89 навършени години, които през наблюдавания период:
- извършват работа дори за един час, за което получават работна заплата или друг доход;
- не работят, но имат работа, от която временно отсъстват поради годишен отпуск, болест, отпуск при раждане и отглеждане на дете до навършване на 2-годишна възраст, гъвкав график на работното време, участие в обучение, свързано с работата, както и поради друго отсъствие, ако продължителността му е 3 месеца или по-малко.
Безработни са лицата на възраст 15 - 74 навършени години, които:
- нямат работа през наблюдавания период;
- активно търсят работа през период от четири седмици, вкл. наблюдаваната, или вече са намерили работа, която очакват да започнат до три месеца след края на наблюдавания период;
- имат възможност да започнат работа до две седмици след края на наблюдавания период.
Продължително безработни са лицата, които са безработни от една или повече години.
Икономически неактивни (лица извън работната сила) са лицата на възраст 15 и повече навършени години, които не са нито заети, нито безработни през наблюдавания период, вкл. всички лица на възраст 90 и повече навършени години.
Обезкуражени са лицата извън работната сила на възраст 15-74 навършени години, които желаят да работят, но не търсят активно работа, защото предполагат, че няма да намерят подходяща работа.
Коефициент на икономическа активност - относителният дял на икономически активните лица от населението в същата възрастова група.
Коефициент на заетост - относителният дял на заетите лица от населението на 15 и повече навършени години или в съответната възрастова група.
Коефициент на безработица - относителният дял на безработните лица от икономически активното население.
Коефициент на продължителна безработица - относителният дял на продължително безработните лица от икономически активното население.
Коефициент на неактивност - относителният дял на икономически неактивните лица от населението в същата възрастова група.
Рано напуснали образование и обучение са лицата на възраст 18 - 24 навършени години, завършили най-много основно образование и неучастващи в образование и обучение през последните четири седмици, предхождащи наблюдението.
Незаети и неучастващи в образование и обучение са лицата, които не са заети през наблюдавания период (т.е. са безработни или икономически неактивни) и същевременно не участват във формално или неформално образование и обучение през последните четири седмици, предхождащи наблюдението.
Годишните данни са осреднени стойности от четирите тримесечия на съответната година.
Поради направените закръгления в някои случаи общите данни могат да се различават незначително от сумата на отделните групи, включващи се в тях.
По-подробни данни от Наблюдението на работната сила могат да се намерят на сайта на НСИ - www.nsi.bg, раздел „Пазар на труда", Наблюдение на работната сила.
Приложение
Таблица 1
Основни показатели за икономическа активност на населението през 2021 година
